Gümrah oyanmanın riyazi düsturu kəşf edildi - FOTO

Gümrah oyanmanın riyazi düsturu kəşf edildi - FOTOBritaniyalı riyaziyyatçı Anne-Mari İmafidon insanların yaxşı əhval-ruhiyyə ilə oyanmasına kömək etməli olan düstur təklif edib.

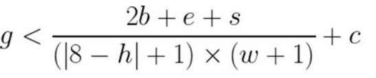
Riysazi düstur gümrah oyanmağa təsir edən bir neçə amili nəzərə alır.
Bunlara yuxu müddəti, oyanma vaxt, səhər yeməyinə sərf olunan vaxt və meditasiya kimi gündəlik vərdişlərə ayrılan zaman daxildir.

Düstur belədir:
Gümrah oyanmanın riyazi düsturu kəşf edildi - FOTOs - duşda sərf olunan dəqiqələr;

e – idman məşqinə sərf olunan dəqiqələr;

b - səhər yeməyinə sərf olunan dəqiqələr;

h - yatmağa sərf olunan saatlar;

w - çarpayıdan qalxdığınız vaxtla səhər saat 7:12 arasındakı fərq (saatlarla);

c – digər səhər vərdişlərinə sərf olunan dəqiqələr;

g = 37

Yuxarıda göstərilənlərin hamısı birlikdə ən azı 37 əmsal verməlidir.

Qeyd edək ki, riyaziyyatçı düsturu hazırlayarkən ilkin tədqiqatlara əsaslanıb.


Sonxeber.az
Telegramda izləyin
Sosial   Baxılıb: 1161   Tarix: 01 avqust 2022  

Şikayətiniz varsa Whatsapp: 077 7125666

Facebookda Paylaş


Oxşar xəbərlər

.

Novruz tətili yaxınlaşır: Bölgələrdə hotel QİYMƏTLƏRİ - VİDEO

Novruz bayramına sayılı günlər qalıb. Təbii ki, tətilini bölgələrdə keçirmək istəyənlərin sayı kifayət qədər çoxdur. Xatırladaq ki, Yeni il ərəfəsində paytaxtda və bölgələrdə istirahət mərkəzlərinin qiymətləri xeyli artmışdı. Bəs Novruz bayramında vəziyyət necə olacaq?. Turizm ekspertləri Baku TV-y

8 mart
.

8 Mart - Beynəlxalq Qadınlar Günü qeyd olunur

8 Mart - Beynəlxalq Qadınlar Günüdür. Bu tarix Klara Setkinin təklifi ilə 1910-cu ildə sosialist qadınların Kopenhagendə keçirilən II Beynəlxalq Konfransında təsis olunub. Mahiyyət etibarilə qadınların ictimai-siyasi, iqtisadi bərabərlik, öz hüquqları uğrunda mübarizədə həmrəylik günü kimi yaradılıb

8 mart
.

Əməkdar artist ağır itki (FOTO)

Əməkdar artist Gülzar Qurbanovaya ağır itki üz verib. Qaynarinfo xəbər verir ki, aktrisanın anası dünyasını dəyişib. Bu haqda G.Qurbanova özü məlumat yayıb. Anası ilə fotosunu yayımlayan aktrisa "Mənə görə ananı ancaq uca Allahla müqayisə etmək olar. Mənim üçün hər ikisi də müqəddəsdir. Anam məni

9 mart
.

Güclü külək, qar, 5° şaxta... - Həftənin ilk iş gününün HAVASI

Martın 9-da gözlənilən hava proqnozu açıqlanıb. Bu barədə -a Milli Hidrometeorologiya Xidmətindən xəbər verilib. Bakıda və Abşeron yarımadasında hava şəraitinin bəzi yerlərdə fasilələrlə yağıntılı olacağı gözlənilir. Mülayim şimal-qərb küləyi əsəcək. Havanın temperaturu gecə 3-5 isti, gündüz 6-8 ist

8 mart
.

Sabah Bakıda hava yağmursuz keçəcək

Sabah Bakıda və Abşeron yarımadasında hava şəraitinin dəyişkən buludlu olacağı, arabir tutulacağı, əsasən yağmursuz keçəcəyi gözlənilir. Bu barədə -a Milli Hidrometeorologiya Xidmətindən məlumat verilib. Qeyd edilib ki, 9-dan 10-da keçən gecə bəzi yerlərdə az yağıntılı olacağı ehtimalı var. Şimal-şər

9 mart
.

Emmanuel Makron Prezident İlham Əliyevə zəng edib

Fransa Respublikasının Prezidenti Emmanuel Makron martın 8-də Azərbaycan Respublikasının Prezidenti İlham Əliyevə zəng edib. AZƏRTAC-a istinadən xəbər verir ki, Fransa Prezidenti İranın Azərbaycana hava hücumu ilə əlaqədar ölkəsinin Azərbaycanla həmrəyliyini və dəstəyini ifadə edib. Emmanuel Makron

8 mart
.

Məsud Pezeşkian İlham Əliyevə zəng edib

Martın 8-də İran İslam Respublikasının Prezidenti Məsud Pezeşkian Azərbaycan Respublikasının Prezidenti İlham Əliyevə zəng edib. AZƏRTAC-a istinadən xəbər verir ki, Prezident Məsud Pezeşkian dövlətimizin başçısının İran İslam Respublikasının ali rəhbəri ayətullah Seyid Əli Xameneinin və bir çox mülk

8 mart
.

BƏƏ-dəki Azərbaycan vətəndaşları Omandan Bakıya təxliyə edilir

Yaxın Şərq regionunda baş verən hadisələrlə əlaqədar regionda, o cümlədən Birləşmiş Ərəb Əmirliklərində qalan Azərbaycan vətəndaşlarının ölkəyə qayıdışı üçün Oman Sultanlığının Muskat şəhərindən Bakıya növbəti təxliyə reysi həyata keçirilir. AZAL-a istinadən xəbər verir ki, AZAL-ın Muskat-Bakı marşrut

10 mart
.

Prezident İlham Əliyevin sosial şəbəkə hesablarında 8 Mart - Beynəlxalq Qadınlar Günü ilə bağlı paylaşım edilib

Prezident İlham Əliyevin sosial şəbəkə hesablarında 8 Mart - Beynəlxalq Qadınlar Günü ilə bağlı paylaşım edilib. xəbər verir ki, paylaşımda deyilir:. "Hörmətli xanımlar! Sizi Beynəlxalq Qadınlar Günü münasibətilə səmimi-qəlbdən təbrik edir, hamınıza cansağlığı, səadət və işlərinizdə müvəffəqiyyətlə

7 mart