Səhər gümrah oyanmanın riyazi düsturu kəşf edildi - FOTO

Səhər gümrah oyanmanın riyazi düsturu kəşf edildi - FOTOBritaniyalı riyaziyyatçı Anne-Mari İmafidon insanların yaxşı əhval-ruhiyyə ilə oyanmasına kömək etməli olan düstur təklif edib.

Riysazi düstur gümrah oyanmağa təsir edən bir neçə amili nəzərə alır.

Bunlara yuxu müddəti, oyanma vaxt, səhər yeməyinə sərf olunan vaxt və meditasiya kimi gündəlik vərdişlərə ayrılan zaman daxildir.

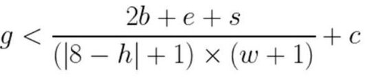
Düstur belədir:
Səhər gümrah oyanmanın riyazi düsturu kəşf edildi - FOTOs - duşda sərf olunan dəqiqələr;

e – idman məşqinə sərf olunan dəqiqələr;

b - səhər yeməyinə sərf olunan dəqiqələr;

h - yatmağa sərf olunan saatlar;

w - çarpayıdan qalxdığınız vaxtla səhər saat 7:12 arasındakı fərq (saatlarla);

c – digər səhər vərdişlərinə sərf olunan dəqiqələr;

g = 37

Yuxarıda göstərilənlərin hamısı birlikdə ən azı 37 əmsal verməlidir.

Qeyd edək ki, riyaziyyatçı düsturu hazırlayarkən ilkin tədqiqatlara əsaslanıb.


Sonxeber.az
Telegramda izləyin
Maraqlı   Baxılıb: 1401   Tarix: 31 iyul 2022  

Şikayətiniz varsa Whatsapp: 077 7125666

Facebookda Paylaş


Oxşar xəbərlər

.

Kenquruların diş quruluşunun təkamül sirri açıldı

Təkamül prosesində sərt qidalanmaya keçid etmələrinə baxmayaraq, kenquruların dişləri yumşaq otlarla qidalanan məməlilərə xas olan forma və quruluşunu qoruyub saxlayır. "Science" nəşrinə istinadən xəbər verir ki, avstraliyalı alimlər bu mövzuda maraqlı tədqiqat aparıblar. Adətən, atlar, zebrala

7 may
.

Yenidən dəbdə olan saç düzümləri - 90-cı illərin estetikası

90-cı illərin nostaljisi rəsmi olaraq gözəllik sənayesində əsas trendə çevrilib. Retro saç düzümlərinə tələbat təxminən ikiqat artıb və çoxqatlı kaskadlar yenidən bərbərxanaların istək siyahılarında birinci yerdədir. Bunlarla yanaşı, o dövrün iki qütbü də aktualdır: cazibədar həcmli podium divaları v

8 may
.

Hər evdə metrlərlə var: Gizli dinləmə edə bildiyi məlum oldu

İnternet sürətimizi artıran və evlərimizdə metrlərlə uzanan fiber-optik kabellərin əslində həssas bir mikrofona çevrilə bildiyi sübut edilib. Honq-Konq Politexnik Universiteti və Honq-Konq Çin Universitetinin tədqiqatçıları tərəfindən aparılan və "NDSS Symposium 2026"da təqdim olunan araşdırm

9 may
.

Alimlər insanların oyaq ikən də yuxu görə bildiyini aşkarlayıblar

Son elmi araşdırmalar insanların təkcə yuxu vəziyyətində deyil, eyni zamanda oyaq olduqları zaman da yuxugörməyə bənzər hallar yaşadıqlarını üzə çıxarıb. xəbər verir ki, bu maraqlı faktı Paris Beyin İnstitutunun tədqiqatçısı Nikolas Dekat Böyük Britaniyanın "Daily Mail" nəşrinə müsahibəsind

6 may
.

"Vəhşi çay" filminin çəkilişində FACİƏ baş verəcəkmiş: Ulduz aktrisa suda boğulurmuş

Müasir dövrün ən yaxşı aktrisalarından biri hesab edilən Meril Strip 1994-cü ildə çəkiliş meydançasında həlak olan aktyorların faciəvi siyahısına daxil olmağa çox yaxın idi. xarici mediaya istinadla xəbər verir ki, gərgin süjetli "Vəhşi çay" filmi üzərində işləyərkən aktrisa həyatı bahasın

7 may
.

Süni intellektlə hava proqnozunu öyrənmək - Təhlükə qaçılmazdır

Süni intellekt vasitəsilə hava proqnozlarına baxmaq adət halına çevirilib. Lakin mütəxəssislər xəbərdarlıq edir ki, yeni nəsil modellər bəzi hallarda fəlakətli hava hadisələrini düzgün proqnozlaşdıra bilmir. xarici mediaya istinadla xəbər verir ki, süni intellekt texnologiyaları iqlim dəyişikliklərini

7 may
.

Gənc qızın küçənin ortasında etdiyi rəqs tənqidlərə səbəb oldu - VİDEO

Son dövrlərdə xüsusilə xarici ölkələrdə populyarlaşan küçədə rəqs videoları Türkiyədə də gündəm mövzusuna çevrilib. xarici mediaya istinadən xəbər verir ki, sosial mediada paylaşılan görüntülərdə gənc bir qadının İstanbul küçələrindən birində musiqi sədaları altında rəqs etdiyi və ətrafdakı insanları

7 may
.

Qırmızı saçlı insanların hüceyrə "supergücü" qədim təkamül sirrini ortaya çıxardı

Qırmızı saç və narıncı lələklər uzun müddət riskli təkamül xüsusiyyəti kimi qiymətləndirilib. Bunun səbəbi əvvəlki tədqiqatların onları hüceyrə stressini artıran və insanlarda xərçəng riskini yüksəldə bilən dəri piqmentləri ilə əlaqələndirməsi idi. Yeni araşdırma isə göstərib ki, müəyyən şəraitdə həmi

8 may
.

Britaniyada əməliyyat zamanı iki dəfə ürəyi dayanan qadın xilas edildi

Böyük Britaniyada adi laparoskopik əməliyyat zamanı ürəyi iki dəfə dayanan gənc qadının həyatını xilas etmək mümkün olub. xəbər verir ki, bu barədə "Mirror" nəşri məlumat yayıb. 28 yaşlı müəllimə əməliyyatdan sonra reanimasiya şöbəsində ayılıb. Məlum olub ki, narkoza (anesteziya) allergiyas

6 may