Sosial xəbərlər
Qəzada ölən şəxs federasiyanın sabiq baş katibi olub - VİDEO
Avqustun 1-də Bakı-Quba-Dağıstan sərhədi yolunun Siyəzən ərazisindən keçən 115-ci km-də avtomobil qəzasında dünyasını dəyişmiş Anna Qladçenkonun kimliyi müəyyənləşib. "Report"un məlumatına görə, A.Qladçenko əvvəllər Azərbaycan Velosiped Federasiyasının baş katibi və Respublika Olimpiya Ehtiyatlar
2 avqust 2022
Göldə boğulan Mehdi üzə bilmirmiş
Xəbər verdiyimiz kimi, Şəkidə yeniyetmə göldə çimərkən boğularaq ölüb. "Qafqazinfo" bədbəxt hadisə nəticəsində ölən 2005-ci il təvəllüdlü Mehdi Əzizovun fotosunu əldə edib. Yaxınlarının verdiyi məlumata görə, Mehdi "Keşiş Gölü" kimi tanınan gölə qonaq getdiyi bibisinin uşaqları il
2 avqust 2022
Birinci Qarabağ müharibəsi əlillərinə ŞAD XƏBƏR
1997-ci il avqustun 2-dək olan xidmət dövründə Azərbaycan Respublikasının ərazi bütövlüyünün, müstəqilliyinin və konstitusiya quruluşunun müdafiəsi ilə əlaqədar hərbi xidmət vəzifələrini yerinə yetirərkən və ya həqiqi hərbi xidmət dövründə xəsarət (yaralanma, travma, kontuziya) alması və ya xəstələnməs
2 avqust 2022
Ərəb turistləri Bakıda hansı ölkələrdən gələnlər əvəzləyəcəklər? - VİDEO
Bu ilin yay mövsümündə Azərbaycanda turistlərin sayında xeyli artım görünür. Bəs turizm potensialının bərpa olduğu bu ildə ölkəmizə daha çox hansı ölkənin vətəndaşları üz tutur?. xəbər verir ki, mövzu ilə bağlı "İTV"yə danışan Dövlət Turizm Agentliyinin sədrinin müşaviri Kənan Quluzadə bu ili
2 avqust 2022
Azərbaycanda məscidlərdə qadınlara vəzifə veriləcək
"İslam dininə aid ibadət yerləri üzrə (məscidlər) elan olunmuş 39 vakant vəzifə içərisində qadın dini ayinlərin icraçısı vakansiyası yoxdur. Ancaq növbəti vakansiya elan edilən zaman bunun da olmasını nəzərdə tuturuq". "report"a istinadən xəbər verir ki, bunu Dini Qurumlarla İş üzr
2 avqust 2022
DİQQƏT! Pulunuz oğurlana bilər - Şəxsiyyət vəsiqənizi istəsələr verməyin - VİDEO
Elan saytına yerləşdirilən əşyalara alış üçün xarici nömrədən mesaj gəlir. Satışı yerləşdirən şəxs isə heç bir təhlükə hiss etmir. Çünki, ənənəvi kiber dələduzlar adətən beh ödəmək adıyla bank hesabı istəyirlər. Amma bu dəfəki alıcı guya satıcının real şəxs olduğunu yoxlamaq üçün sadəcə şəxsiyyət vəsiqəsin
2 avqust 2022
Deputatlar nə qədər maaş alacaq? - Millət vəkili hesabladı
Milli Məclisin deputatı Tahir Mirkişili millət vəkillərinin maaşlarının artması məsələsinə aydınlıq gətirib. xəbər verir ki, o, bu barədə özünü feysbuk hesabında paylaşım edib. Parlamentin İqtisadi Siyasət, sənaye və sahibkarlıq komitəsinin sədrinin sözlərinə görə, deputatların maaşının 61 faiz artmas
2 avqust 2022
Bu gün Azərbaycan Kinosu Günüdür
Avqustun 2-si Azərbaycan kinosunun yaranmasının 124 illiyi və Azərbaycan Kinosu Günüdür. xəbər verir ki, 1898-ci il avqustun 2-də Bakıda Azərbaycan kinematoqrafının istehsalı olan ilk qısametrajli, səssiz film ("İlişdin") nümayiş olunub. İlk filmlər fotoqraf və nasir Aleksandr Mişonun çəkdiy
2 avqust 2022
Əməkdar artistin ailəsinə AĞIR İTKİ - FOTO
Əməkdar artist Anar Heybətovun ailəsinə ağır itki üz verib. xəbər verir ki, aktyorun gənc yaşda olan dayısıoğlu dünyasını dəyişib. Heybətovun qohumu Pirşağı çimərliyində batıb. Bu haqda Anar özü məlumat verib. "Dünyanı dəhşətli alovlardan qoruyan dəniz suları bu dəfə hamını yandırdı"
2 avqust 2022
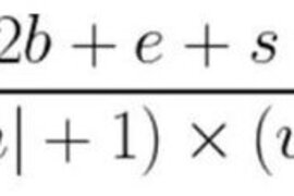
Gümrah oyanmanın riyazi düsturu kəşf edildi - FOTO
Britaniyalı riyaziyyatçı Anne-Mari İmafidon insanların yaxşı əhval-ruhiyyə ilə oyanmasına kömək etməli olan düstur təklif edib. Riysazi düstur gümrah oyanmağa təsir edən bir neçə amili nəzərə alır. Bunlara yuxu müddəti, oyanma vaxt, səhər yeməyinə sərf olunan vaxt və meditasiya kimi gündəlik vərdişlər
1 avqust 2022
Nazirlik rəsmisindən Xəzər dənizinə köpəkbalığı buraxılması ilə bağlı AÇIQLAMA – YENİLƏNİB + VİDEO
Ekologiya və Təbii Sərvətlər Nazirliyi ötən gün sosial şəbəkələrdə Xəzər dənizinə köpək balığı buraxılması ilə bağlı yayılan görüntülərə münasibət bildirib. Bioloji Resursların Tədqiqatı Mərkəzinin direktoru, biologiya elmləri doktoru, professor Mehman Axundov -ın sorğusuna cavab olaraq bildirib ki
1 avqust 2022
Heydər Camalın nəvəsi Şuşaya gedəcək
Rusiyanın Azərbaycan əsilli məşhur ilahiyyatçı alimi Heydər Camalın nəvəsi, tanınmış jurnalist Orxan Camalın oğlu Mansur Camal Azərbaycana gəlib. Bu barədə Diasporla İş üzrə Dövlət Komitəsindən məlumat verilib. Qeyd olunub ki, M.Camal Şuşada keçiriləcək Diaspor Gənclərinin II Yay Düşərgəsində iştira
1 avqust 2022
Leylanın qızı Türkiyədə tibb oxuyacaq
Aparıcı Leyla Mustafayevanın qızı Selcan Türkiyədə universitetə qəbul olub. OLAY yazır ki, bu barədə o, instaqramda məlumat yayıb. Ali Təhsil müəssisəsinin qarşısından övladı ilə foto paylaşan aparıcı bu sözləri qeyd edib:. "Bu gündən "Dokuz Eylül" universitetinin tibb fakültəsinin tələbəsiyik"
1 avqust 2022
Səhiyyə Nazirliyinin vəzifələri artırılıb – FƏRMAN
Prezident İlham Əliyevin bu gün imzaladığı fərmanla "Azərbaycan Respublikasının Səhiyyə Nazirliyi haqqında Əsasnamə" dəyişiklik edilib. AZƏRTAC xəbər verir ki, dəyişikliyə əsasən, Səhiyyə Nazirliyinin vəzifələri artırılıb. Nazirliyin vəzifələri sırasına orqan donorluğu və transplantasiya sahəsind
1 avqust 2022
MN: "Erməni mətbuatında yayılan məlumatlar yalandır"
Azərbaycan Ordusunun bölmələrinin Rusiya sülhməramlılarının müvəqqəti yerləşdiyi Azərbaycan ərazisindəki qanunsuz erməni silahlı birləşmələri istiqamətində guya atəş açması barədə erməni mətbuatında yayılan məlumat yalandır, təxribat və çaşdırıcı məqsəd daşıyır. Bu barədə Müdafiə Nazirliyi məlumat yayı
1 avqust 2022
Baş direktor aparılan işlərlə yerində tanış oldu
İyun ayının 22-də çoxsaylı müraciətləri nəzərə alaraq "Azəriqaz" İB Gədəbəy rayonunun Qoşabulaq kəndində "Açıq mikrofon" aksiyası keçirib. xəbər verir ki, həmin aksiyada vətəndaşlar Birliyin baş direktoru Ruslan Əliyevə müraciət edərək yaşadıqları kəndə təbii qaz verilməsini xahi
1 avqust 2022
Növbəti aksiya Salyanda keçirildi
SOCAR "Azəriqaz" İB-nin baş direktorunun təşəbbüsü ilə həyata keçirilən və onun şəxsi nəzarətində olan "Açıq mikrofon" aksiyaları davam edir. xəbər verir ki, növbəti belə aksiya bu gün Salyan şəhərinda baş tutub. Aksiya iştirakçıları onları maraqlandıran suallara cavab tapıb, müraciətlərin
1 avqust 2022
İlham Əliyev Fərman imzaladı
Prezident İlham Əliyev Fərman imzalayıb. AZƏRTAC xəbər verir ki, Fərmanda deyilir:. "Azərbaycan Respublikası Konstitusiyasının 109-cu maddəsinin 19-cu və 32-ci bəndlərini rəhbər tutaraq, "Əhalinin sağlamlığının qorunması haqqında", "Mülki dövriyyədə olmasına yol verilməyən (mülk
1 avqust 2022
FHN-dən Fəvvarələr bağındakı yanğınla bağlı AÇIQLAMA - YENİLƏNİB + VİDEO
Bakı şəhərinin Səbail rayonunda üçmərtəbəli yaşayış binasında baş vermiş yanğın yanğından mühafizə bölmələri tərəfindən söndürülüb. Bu barədə Fövqəladə Hallar Nazirliyi məlumat yayıb. Bildirilib ki, hadisə ilə bağlı əlavə məlumat veriləcək. 19:55. Paytaxtın Səbail rayonunda yanğın hadisəsi baş verib
1 avqust 2022
Azərbaycanda alim VƏFAT ETDİ
Naxçıvan Dövlət Universitetinin alimi Novruzəli Rəhimov dünyasını dəyişib. Bu barədə -a Naxçıvan Dövlət Universitetindən məlumat verilib. Qeyd edək ki, alim Rəhimov Novruzəli Həmzə oğlu 1962-ci il mart ayının 20-də Naxçıvan Muxtar Respublikası Babək rayonunun Qara-qala kəndində anadan olub. 1969-cu ild
1 avqust 2022
DİN yanında İŞ müvəqqəti saxlama yerlərində monitorinqlər keçirib
Daxili İşlər Nazirliyi yanında İctimai Şura iyul ayında Xətai və Qaradağ rayon polis idarələrinin Müvəqqəti saxlama yerlərində monitorinqlər keçirilib. İctimai Şuranın "Polis orqanlarında müvəqqəti saxlama yerləri üzrə" monitorinq qrupunun əlaqələndiricisi Araz Nurməmmədov, üzvləri Xalid Kazımov
1 avqust 2022
Saxta çıxarış vermək adı ilə külli miqdarda dələduzluq edən şəxs məhkəmə zalında HƏBS OLUNDU
Bakıda dələduzluqda təqsirləndirilən Mikayıl Abdullayevin cinayət işi üzrə məhkəmə iclası başa çatıb. "Report"un xəbərinə görə, Bakı Ağır Cinayətlər Məhkəməsinin hakimi Azər Paşayevin sədrliyi ilə keçirilən prosesdə hökm oxunub. Məhkəmənin hökmü ilə o, 5 il müddətinə azadlıqdan məhrum edili
1 avqust 2022
Xalq artisti: "Gəlinin toyda oynaması mütrüflük və ayıbdır, gəlin utanar"
"Əgər rəqqas və rəqqasə ciddi adamdırsa, sənətkardırsa, rəqsi sevirsə, toya getməməlidir. Bu, dəhşətdir". Azərbaycanın Xalq artisti, 94 yaşlı xoreoqraf-baletmeyster Roza Cəlilovanın Report-a müsahibəsini təqdim edirik:. - Roza xanım, həyatınız rəqslə, xoreoqrafiya ilə bağlıdır. Bu sənətə nec
1 avqust 2022
Baş direktor bir qrup Birlik əməkdaşını mükafatlandırdı
SOCAR "Azəriqaz" İstehsalat Birliyinin baş direktoru Ruslan Əliyev Gədəbəy rayonunda Şəmkir Regional qaz istismarı İdarəsinin bir qrup əməkdaşı ilə görüşüb. xəbər verir ki, işçilərin problemlərini dinləyib, qayğıları ilə maraqlanan baş direktor onların əmək şəraitinin yaxşılaşdırılması üçü
1 avqust 2022
Azərbaycanda vaksinasiya ilə bağlı son vəziyyət
Azərbaycanda son sutkada 6 nəfər vaksinasiya olunub. xəbər verir ki, bu barədə Nazirlər Kabineti yanında Operativ Qərargah məlumat yayıb. Gün ərzində birinci doza vaksinlərin sayı 1, ikinci doza vaksinlərin sayı 1 təşkil edib. Ölkədə üç və daha çox doza vaksinlərin sayına gəlincə, bu göstərici 4-dür
1 avqust 2022
Yoluxanların sayı açıqlandı
Azərbaycanda son sutkada koronavirus infeksiyasına 102 yeni yoluxma faktı qeydə alınıb, 104 nəfər müalicə olunaraq sağalıb və evə buraxılıb. xəbər verir ki, bu barədə Nazirlər Kabineti yanında Operativ Qərargah məlumat yayıb. Son sutkada COVID-19-dan vəfat edən olmayıb
1 avqust 2022
"İlk növbədə hərbi xidmətdə qardaşı, övladı və atası olan ana-bacılarımızı, körpələrimizi düşünməliyik" - DEPUTAT
Xəbər verdiyimiz kimi, Müdafiə Nazirliyi son günlər sosial şəbəkələrdə müxtəlif adlar altında Vətən müharibəsi və təlimlər zamanı Azərbaycan Ordusunun fəaliyyətini, hərbi kolonların, eləcə də döyüş texnikalarının hərəkətini əks etdirən foto və video görüntülərin yeni məlumat kimi paylaşılması ilə bağl
1 avqust 2022
"Azəriqaz" İB-nin baş direktoru Gədəbəy rayonunda vətəndaş qəbulu keçirib
Azərbaycan Respublikasının Prezidenti İlham Əliyevin tapşırığına əsasən, mərkəzi icra hakimiyyəti orqanları və digər idarəetmə qurumlarının rəhbərləri tərəfindən bölgələrdə vətəndaş qəbulu keçirilir. xəbər verir ki, vətəndaşların qəbulu məqsədi ilə avqust ayının 1-də Gədəbəy rayonuna gələn "Azəriqaz"
1 avqust 2022
Müharibə ilə bağlı dezinformasiya yaymağın cəzası nədir?- Hüquqşünasdan AÇIQLAMA
Son günlər sosial şəbəkələrdə müxtəlif adlar altında Vətən müharibəsi və təlimlər zamanı Azərbaycan Ordusunun fəaliyyətini, hərbi kolonların, eləcə də döyüş texnikalarının hərəkətini əks etdirən foto və video görüntülərin yeni məlumat kimi paylaşılır. Bu dezinformasiyanı yaymağın hüquqi cəzası nədir?
1 avqust 2022
Azərbaycanda meymunçiçəyinə yoluxma qeydə alınıb? - RƏSMİ CAVAB
"Azərbaycanda meymunçiçəyinə yoluxma faktı qeydə alınmayıb". xəbər verir ki, bunu Səhiyyə Nazirliyinin Xüsusi Təhlükəli İnfeksiyalara Nəzarət Mərkəzinin direktor müavini Rita İsmayılova deyib. Onun sözlərinə görə, proses ölkəmizin səhiyyə qurumları tərəfindən diqqətlə izlənilir və epidemioloj
1 avqust 2022
Güclü külək, qar, 5° şaxta... - Həftənin ilk iş gününün HAVASI
Məsud Pezeşkian İlham Əliyevə zəng edib
Nazirlər Kabineti İranla bağlı qadağanı ləğv etdi
Ər-arvadın adlarına görə xoşbəxt olub-olmayacağını necə müəyyən etməli?
Türkiyə səhəri GÜCLÜ ZƏLZƏLƏ ilə açdı
Acun ondan üzr istədi
Azərbaycanda bu şəxslərin maaşı artırılır
SON DƏQİQƏ - İrandan Türkiyəyə atılan ballistik raket məhv edildi
Emmanuel Makron Prezident İlham Əliyevə zəng edib
Abbas Əraqçı: "İran müharibənin dayandırılması şərtlərini müzakirə etməyə hazır deyil"
İranlılara zəhərli yağışlar barədə XƏBƏRDARLIQ
İranın Ekspertlər Şurası yeni ali liderin seçildiyini təsdiqlədi
Alyona Əliyeva 8 Mart - Beynəlxalq Qadınlar Günü münasibətilə paylaşım edib
İranda ölənlərin sayı açıqlandı - RƏSMİ
İlham Əliyev Müctəba Xameneyini İranın ali rəhbəri seçilməsi münasibətilə təbrik edib
